Index of /pub/databases/go/latest_release/www/meeting/GO-MIT_March2007
Parent Directory
12-10-06_GO_changes.doc
Changes_Ideas_12-06.doc
Column_descriptions.xls
GO_11-26-06.pdf
Gene_Ontology_Re-Engineering_Paper-nbt_v8_f_no_com.doc
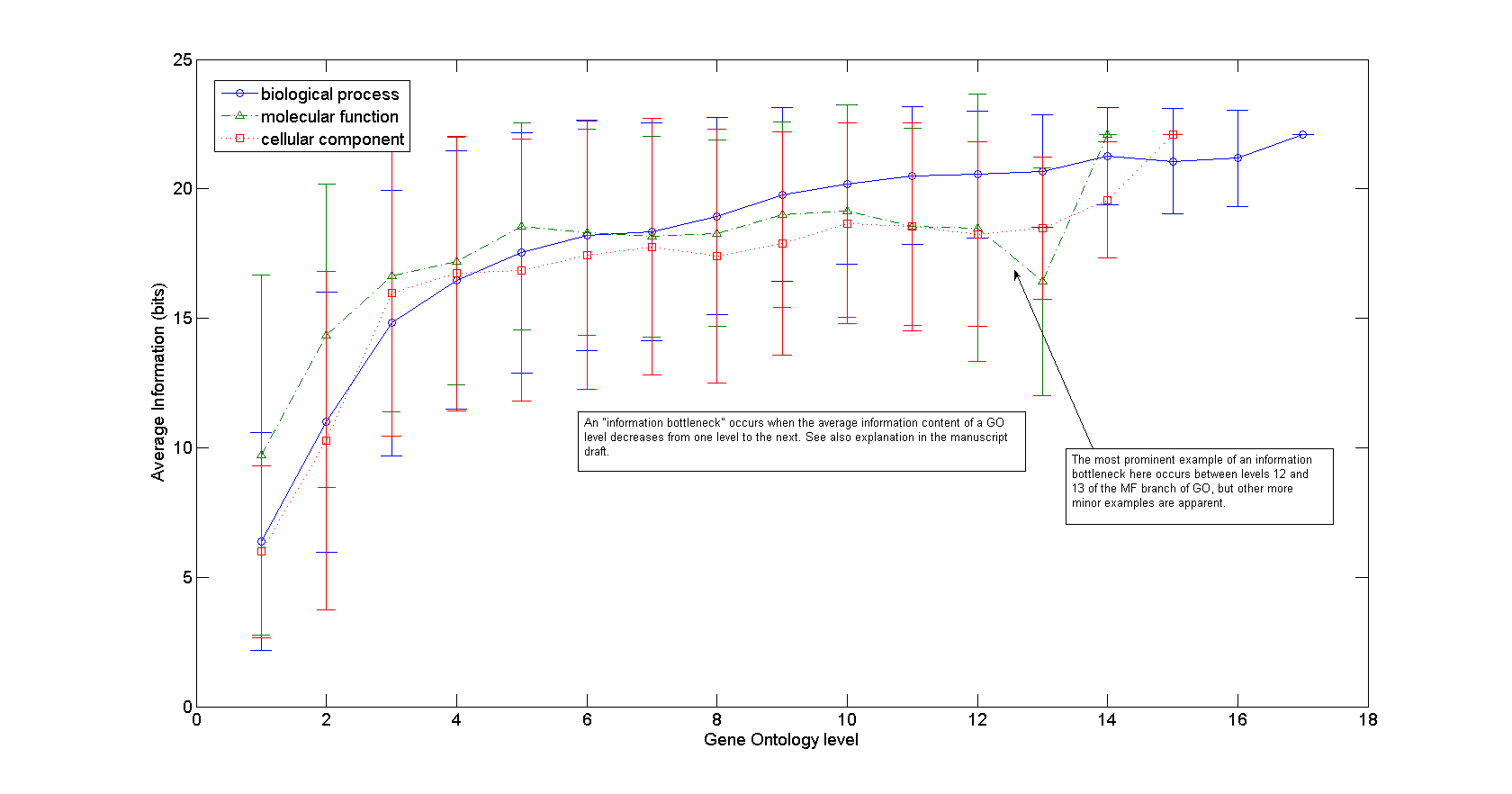
Graph_showing_info_bottlenecks.png
Improving_the_Gene_Ontology.doc
Quantifying_the_Specificity_of_Gene_Ontology_Terms-supp_info.doc
Quantifying_the_Specificity_of_Gene_Ontology_Terms.doc
Too_general_nodes_10-31-06.xls
Too_specific_nodes_11-01-06.xls
Too_specific_nodes_MAH_comments.xls
data_for_isACompleteOBO_12-7-06.xls